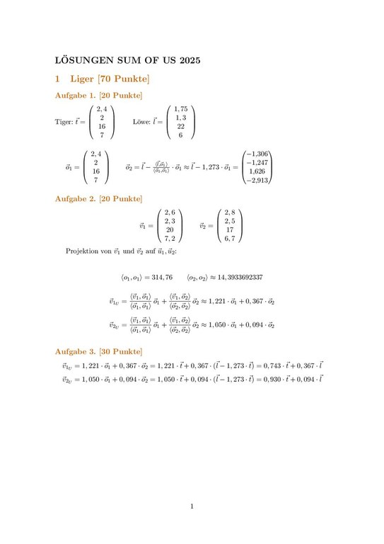
2025_Lösungen_Sum_of Us.pdf 2025_Lösungen_Sum_of Us.pdf application/pdf application/pdf Size 228.5 KB Herunterladen